Accueil

Orientation générale

Barre de recherche

DicoNombre

DicoMot Math

DicoCulture

Atlas des maths

Rubriques

Index alphabétique

Nouveautés

Actualités

Références

Édition du: 13/04/2025

M'écrire

Brèves de Maths

 

INDEX

 

Sommes de nombres

Complexes

Trigonométrie

Sommation

Sommation

Entiers

Puissances

Cosinus

Sinus au carré

Faites un double-clic pour un retour en haut de page

 

 

Sommation des sinus²

 

Comment s'y prendre pour calculer une série impliquant des sinus au carré ?
Une transformation trigonométrique, dite linéarisation, permet de passer à une forme trigonométrique sans carré; c'est une formule avec des cosinus.

Alors, cela tombe bien, nous avons développé une page qui calcule la sommation des cosinus.

 

    

 

Sommaire de cette page

>>> Outils – Rappels

>>> Méthode de calcul

>>> Sommation du sinus au carré

>>> Bilan

Débutants

Trigonométrie

 

Glossaire

Complexes

 

 

Outils – Rappels

haut

 

Formule du carré du sinus (linéarisation)

  

 

 

Somme de cosinus

 

Avec le facteur 2

Sans confusion possible, on omettra le point de la multiplication

 

 

Méthode de calcul

haut

 

Méthode du changement de monde

Comment s'y prendre pour calculer une telle somme de sinus au carré ?

Oui, cela n'est pas évident !

Comme on le pratique souvent en maths, la solution consiste à changer de monde (principe du levier mathématique).

En l'occurrence: à passer dans le mondes des exponentielles pour y réaliser la partie calculatoire. Pour cela, on utilise les formules d'Euler.

Le retour au monde trigonométrique s'effectue en inversant les formules d'Euler.

 

Ce qu'il faut trouver

 

Principe du calcul

Voir Brève 62-1230

 

 

 

 

 

Sommation du sinus au carré

haut

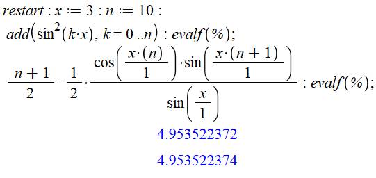
Calculer cette somme de sinus au carré.

Linéarisation.

En séparant les deux termes.

Extraction du facteur commun ½ .

Le premier terme est la somme n + 1 fois de 1 (oui: de 0 à n).

Le second terme est la somme de cosinus.

 

Vérification avec le logiciel Maple.

 

 

Bilan

 

 

 

Haut de page (ou double-clic)

 

Retour

*      Somme des cosinus

*      Somme des entiers Index

Suite

*      Nombres complexesIndex

*      Forme matricielle

*      Opérations

Voir

*      Constantes

*      Inventaire des types de nombres

*      NombresGlossaire et index

*      Nombres réels

*      OpérationsIndex

*      Vecteurs

Cette page

http://diconombre.fr/Wwwgvmm/Type/Somsinus.htm