|
|||||||||||||||||||||||||||
![]()
|
RACINES CONTINUES On peut écrire les nombres
entiers sous la forme d'une suite de radicaux imbriqués sans fin.
|
Anglais: Nested radical / Nested square roots / Continued
roots / Continued radical
|
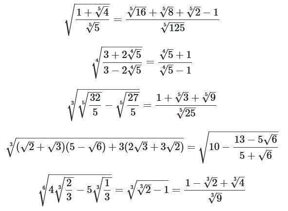
Simplifier une expression avec radicaux imbriqués
est généralement un problème difficile. Certains cas (rares) sont néanmoins calculables,
comme:
|
Voir Racines continues / Radical
|
|
||
|
Racine continue de 2
Convergence Après 12 itérations: Écart = 0, 000 000 261 |
Calculs successifs 1, 414 1, 847 1, 961 1, 990 1, 997 1, 99939 1, 99984 1, 99996 1, 9999905 1, 9999976 1, 9999989 1, 999999739 |
|
|
|
||
|
Formule générale |
|
|
|
Démonstration Ajoutons n de chaque côté |
|
|
|
Prenons la racine carrée de chaque côté |
|
|
|
Or, la partie de droite est notre expression
d'origine |
|
|
|
Passons au carré |
|
|
|
Et la valeur du nombre n sous le radical est
donnée par cette relation: Voir Nombre
pronique |
|
|
Voir Brève
51 -1010
|
Application |
|
|||||||||||||||
|
Théorème |
Tout
nombre entier N est
exprimable sous forme d'une racine continue dont
la valeur sous le radical est égale à = (N-1) N |
|||||||||||||||
|
|
|||||||||||||||||||||||||||||||||||||||||||||||||||
|
Je
me donne le nombre sous le radical. Que vaut la racine continue ? Résolution
d'une équation de
2e degré |
|
||||||||||||||||||||||||||||||||||||||||||||||||||
|
Quelques résultats |
|
||||||||||||||||||||||||||||||||||||||||||||||||||
|
|
||
|
3 = Les
coefficients sont les entiers successifs. |
|
|
|
4 = Sur
le même principe |
|
|
Quelques trouvailles de Ramanujan

![]()
|
Suite |
|
|
Voir |
|
|
DicoNombre |
|
|
Sites |
|
|
Cette page |
![]()