Accueil

Orientation générale

Barre de recherche

DicoNombre

DicoMot Math

DicoCulture

Atlas des maths

Rubriques

Index alphabétique

Nouveautés

Actualités

Références

Édition du: 25/11/2024

M'écrire

Brèves de Maths

 

INDEX

 

Défis en géométrie

Géométrie 

Angles

Géométrie – Droites  

Droite

Parallèle

Perpendiculaire

Angle

Angle entre droites

Faites un double-clic pour un retour en haut de page

 

 

Angle entre deux droites

 

Comment calculer l'angle entre deux droites connaissant deux points sur chaque droite ?
Explication à l'aide de l'énigme des trois carrés.

Découverte d'un fait remarquable à propos de l'angle à 45°.

   

 

Sommaire de cette page

>>> Énigme des trois carrés

>>> Explications

>>> Fait remarquable

Débutants

Géométrie

 

Glossaire

Géométrie

 

 

Devinette

Sur cette figure, les segments de même couleur sont parallèles.

En fonction des angles indiqués, quelle est la valeur de l'angle thêta ?

Solution

 

 

Énigme des trois carrés

haut

 

Construction

Trois carrés de 5, 5 et 7 de côté.

Deux obliques qui forment un angle alpha.

Prouver que cet angle vaut 45°.

 

Piste

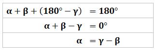
L'angle alpha est la somme des angles bêta et gamma, angles que l'on retrouve aux pieds des carrés.

Or, on sait calculer la tangente de bêta et celle de gamma.

  

 

Calculs

 

 

Note

Les angles bêta et gamma sont voisins mais pas égaux: 22,380…° et 22,619…°

Leur somme est rigoureusement égale à 45°.

Voir Valeurs trigonométriques / Angles

 

 

Explications

haut

 

Équation de la droite

 

Angles entre deux droites

Sur la figure:

 Leurs tangentes

  

 

 

 

Voir Équation de la droite / Relations trigonométriques

 

Fait remarquable

*    Fractions remarquables: la somme est égale au produit ôté de 1.

*    Le rapport des deux vaut 1.

*    Si ces nombres représentent des tangentes, alors la somme des deux angles vaut 45%.

 

 

Haut de page (ou double-clic)

 

Retour

*      AngleIndex

Suite

*      Base de la géométrie: les angles

*      Angles orientés

*      Trisections de l'angle et autres figures

*      Trigonométrie – Relations

*      Droite

*      Constructions élémentaires: angles

Voir

*      Base de la géométrie: la droite

*      Bissectrice

*      Construction au compas

*      Constructions avec des allumettes

*      Diamètre

*      GéométrieIndex

*      Groupes

*      JeuxIndex

*      Points

*      Polygones

*      Symétries motifs de frises et tapisseries

*      TrigonométrieIdentités 

Sites

Cette page

http://diconombre.fr/Wwwgvmm/Geometri/AngleDrt.htm

 

 

 

Solution

Énigme

Sur cette figure, les segments de même couleur sont parallèles.

En fonction des angles indiqués, quelle est la valeur de l'angle thêta ?

 

Solution

Tracez le segment montré en pointillé et la réponse est immédiate.

Dans le triangle, la somme des angles vaut 180° et le troisième angle vaut alors 40° (= 180 – 110 – 40).

Compte tenu des parallèles, l'angle thêta vaut aussi 40°.

 

 

Retour / Autres énigmes