|
||||||||||||
![]()
|
Racine carrée, cube, jusqu'à 10 Des nombres de 2 à 100. |
Voir
Liste de nombres irrationnels / Tables de racines carrés à décimales proches




|
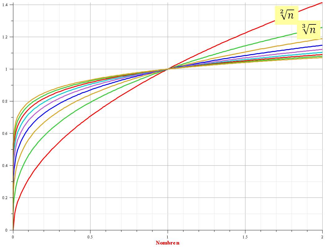
Racine carrée, cube, jusqu'à 10 Des nombres de 0 à 100. Avec zoom autour de 0 à 2. |

ZOOM pour n de 0 à 2

![]()
|
Suite |
|
|
Voir |
|
|
Cette page |
![]()