Accueil

Orientation générale

Barre de recherche

DicoNombre

DicoMot Math

DicoCulture

Atlas des maths

Rubriques

Index alphabétique

Nouveautés

Actualités

Références

Édition du: 21/11/2024

M'écrire

Brèves de Maths

 

 

INDEX

 

Triangles

 

Constructions

 

Géométrie

CONSTRUCTION – TRIANGLE  

Types de triangles

Constructions élémentaires des triangles

Quadrature

Constructions

Orientation

LLL

AAA

LAL

Général

hhh

bbb

Centres

Résol. des triangles

Quelconque

mmm

MMM

Milieu

L: côté; A: Angle; h: hauteur; m: médiane; M: médiatrice; b: bissectrice

 

 

Construction des triangles

connaissant les MÉDIANES

 

Construire le triangle connaissant les médianes d'une manière ou d'une autre.

 

 

Sommaire de cette page

>>> Types de constructions

>>> Pied des médianes

>>> Méthode des longueurs

>>> Méthode du parallélogramme

>>> Méthode des trisections

     

Débutants

Triangle

 

Glossaire

Triangle

Anglais: Triangle (location) construction problems

 

 

Types de constructions

haut

 

Cette page couvre la construction des triangles dont on connait les médianes.

 

 

Trois cas possibles. On connait:

*      leurs longueurs, ou

*      leurs directions, ou

*      leurs pieds.

 

 

Pieds des médianes

haut

But

On connait les trois pieds des médianes A, B, C. Tracer le triangle origine DEF.

 

Si on connait les directions des trois médianes, on connait les trois points d'intersection.

 

Construction

1.    Tracer le triangle médian (bleu)

2.    Parallèles en A, B et C au côté opposé. Intersections D, E et F.

Voir Autre méthode

 

 

 

Construction (AMa, BMb, CMc)

– Méthode des longueurs

haut

 

Calcul

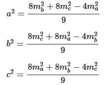
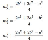
Formules des médianes et calcul des longueurs des côtés en fonction de celles des médianes.

 

Construction

3.    Calculer les valeurs de an b et c.

4.    Construire le triangle ABC.

 

 

 

      

 

 

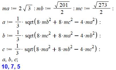
Exemple

 

Longueurs des médianes:

ma = 2 rac(3) = 3,46

mb = 1/5 rac(201) = 7,09

mc = 1/2 rac(273) = 8,26

 

Longueur des côtés:

a = 10

b = 7

c = 5

 

 

 

 

Calcul

Illustration

 

 

Construction (AMa, BMb, CMc)

– Méthode du parallélogramme

haut

 

Problème

Construire le triangle (jaune) dont on connait la longueur des trois médianes (en vert).

 

Propriétés

L'astuce consiste à construire le parallélogramme AGCD.

Alors le triangle AGD est connu:

*      AG = 2/3 AMa

*      AD = GC = 2/3 CMc

*      GD = BG = 2/3 BMb

 

 

 

 

 

Note au sujet des 2/3

Prolonger BMb d'une longueur égale à GMb est, en fait, le moyen habituel pour démontrer que le centre de gravité coupe la médiane aux deux tiers.

 

 

On prolonge BMb tel que GMb = MbD.

Par construction AMb = MbC.

Le quadrilatère ADCG, dont les diagonales se coupent en leur milieu, est un parallélogramme. Les côtés opposés sont parallèles.

Dans le triangle ABD: AD est parallèle à GMc et AMc = McB.
Alors: BG = GD = 2 GMb

 

 

Construction

5.    Calculer les longueurs des trois segments AG, AD et GD (2/3 des médianes connues).

6.    Construire le triangle ADG.

7.    Point Mb milieu de DG.

8.    Point C, symétrique de A par rapport à Mb.

9.    Point B, symétrique de D par rapport à G.
  

 

 

 

Construction (AMa, BMb, CMc)

– Méthode avec trisections

haut

1.    Construire le segment AMa.

2.    Trisection de ce segment: points P et G.

3.    Construire le triangle PGMc avec:
GMc = 1/3 CMc,
PMc = 1/2 BG = 1/3 BMb.

4.    B est le symétrique de A par rapport à Mc.

5.    McG est prolongé tel que McC soit égal à la mesure spécifiée.

Variante

1.    Construire le triangle vert avec pour côtés les longueurs des médianes.

2.    Trisection des trois segments: G, P et Q.

3.    C est le symétrique de G par rapport à P.

4.    B est le symétrique de Q par rapport à G.

 

 

Haut de page

 

Retour

*      Triangles quelconques – Construction

Suite

*      Tracé d'un vrai triangle quelconque

Voir

*      ConstructionsIndex

*      TrianglesIndex

Sites

*      Apprendre à construire : constructions de triangles #10 – Serge Mehl

*      Construction of a Triangle Given 3 Medians – Chris Hood

Cette page

http://diconombre.fr/GeomLAV/Triangle/Construc/Mediane.htm