NOMBRES - Curiosités, théorie et usages

 

Accueil                           DicoNombre            Rubriques           Nouveautés      Édition du: 08/03/2021

Orientation générale        DicoMot Math          Atlas                   Références                     M'écrire

Barre de recherche          DicoCulture              Index alphabétique                               

     

Géométrie

 

Débutants

Géométrie

COURBES particulières

 

Glossaire

Géométrie

 

 

INDEX

 

Courbes

 

Géométrie

 

 

Spirale

Ovales

Ovale de Cassini

Lemniscate

 

Sommaire de cette page

>>> Lemniscate (nom féminin)

>>> Équation de la courbe

>>> Programmation Maple

>>> Longueur d'un arc de lemniscate

>>> Constantes de la lemniscate

 

 

 

 

 

Lemniscate

Lemniscate de Bernoulli

 

La lemniscate est une courbe en forme de huit, cas particulier de l'ovale de Cassini.

 

Lemniscate (nom féminin)

 

Définition

Courbe en forme de huit et qui est le lieu géométrique des points tels que le produit de leurs distances à deux points fixes est constant.

Courbe en 8, symbole de l'infini.

Étymologie

Du latin lemniscatus venant du grec lemniscos: rubans attachés aux couronnes, aux palmes des vainqueurs et des suppliants, ou ornant la tête des convives dans un festin.

 

Anagramme: LEMNISCATE ó CENTESIMAL  Voir Anagrammes

 

Ésotérisme (voir la frise ci-dessus)

Le tarot XI, la force, porte parfois une auréole en forme de lemniscate.

Le serpent d'Ouroboros est lové en cercle, parfois représenté en huit.

 

Historique

En 1680, Giovani Cassini (1625-1712) étudie les formes ovales qui portent son nom. Il pensait que le Soleil suivait une orbite de cette forme. La lemniscate est un cas particulier de ces courbes.

 

En 1694, Jaques (Jakob) Bernoulli (1654-1705) publia dans Acta Eruditorum une courbe qu’il appela lemniscate. Son frère Jean (1667-1748, formateur d'Euler) avait découvert cette courbe en même temps et indépendamment. Ses recherches sur cette courbe l’ont amené à définir cette courbe dont le calcul de la longueur d’un arc conduit plus tard à l’introduction des fonctions elliptiques.

En fait, La naissance de la théorie des fonctions elliptiques remonte à l'examen par Euler (1751) des travaux du compte Giulo Fagnano (1682-1766) sur la lemniscate, lequel avait connaissance des travaux des Bernoulli.

 

Sources CNTRL / CNRS – Images de maths

 

 

Équation de la courbe

Définition de la lemniscate

 

Lieu des points M tels que, par rapport à deux points F et F' (les foyers), le produit MF . MF' est constant.

 

Gian Malfetti (1731-1807) a démontré qu'un corps se déplaçant par gravité sur un arc quelconque de lemniscate va aussi vite qu'un corps qui se déplacerait sur la corde sous-tendue par l'arc.

 

Traduction algébrique

 

Avec le théorème de Pythagore; voir figure ci-dessous.

Cette égalité qui est également valable pour leur carré.

MF² . MF'² = (y² + (c – x)²) (y² + (c + x)²) = c4

   = (y2 + c2 – 2cx +x2) (y2 + c2 – 2cx +x2) = c4

   = y4 + 2x2y2 + x4 +2c2y2 – 2c2x2 + c4 = c4

   (x2 + y2)2 = 2c2 (x2 – y2)

Appréciation

Pour c = x = 1, alors: y = (y² + 4)y² – 1 
Soit quatre valeurs pour y, deux réelles et deux imaginaires:

 

Coordonnées cartésiennes


 

Notez que: a² = 2c²

 

 

 

Calcul en polaire

Avec la forme polaire:

Voir Identités trigonométriques

 

Coordonnées polaires

 

 

 

 

 

Programmation Maple

Description polaire et graphique cartésien

Réinitialisation générale (start).

Commande de dessin de courbe (plot)

Description de la courbe pour x positif (tracé rouge) et pour x négatif (tracé bleu).

Angle 2t variant de -90° à 90°. Notez que pour les autres valeurs le cosinus est négatif et il est impossible de prendre sa racine carrée.

Maple admet toutes sortes de types de coordonnées, dont les coordonnés polaires.

Définition de la couleur de la courbe, de son épaisseur et de la police (font) des nombres sur les axes.

 

Dessin de la lemniscate.

Pour obtenir la même échelle sur les deux axes, sélectionner la courbe et dans le menu qui s'affiche, cliquer sur 1:1.

 

 

Description polaire et graphique polaire

Ci-dessus la définition était exprimée en coordonnées polaire et le graphe réalisé en coordonnées cartésiennes.

Ci-contre, le graphe est représenté en coordonnées polaires. Cette fois, il faut appeler les logiciels de dessin (plots).

 

 

Description cartésienne et graphique cartésien

L'équation (L) de lemniscate est indiquée en x et en y

Les logiciels de dessin sont appelés

Dans la mesure où x et y sont présents, c'est le dessin implicite (implicitplot) qui est spécifié.

L'amplitude de la représentation en x comme en y doivent être spécifiés.

Une nouvelle instruction fait son apparition: gridrefine (affiner la grille). Elle détermine la  résolution du calcul. Avec 1, on verrait apparaitre une ligne brisée et un trou vers x = 0.

La fonte sur les axes est l'une de toutes celles dont vous disposez sur votre ordinateur. 

Voir ProgrammationIndex

 

 

Longueur d'un arc de lemniscate – Approche

Pas facile! Transcendant

La longueur d'un arc de lemniscate, comme celle de l'hyperbole ou celle de l'ellipse, se calcule avec une intégrale transcendante.

 

Autrement-dit; aucune formule élémentaire ne permet de la calculer. 

Il existe bien l'égalité de Fagnano =>

Elle est à l'origine des calculs par intégrale.

Fagnano découvre cette étonnante relation

Relation qui dit qu'un arc de lemniscate = arc d'ellipse + arc d'hyperbole.

Avec

Suite sur le site de Jean-Claude Pénin

Une idée de cette longueur

 

Quel est l'ordre de grandeur du rapport entre le périmètre (L) et la longueur (c), constante de la lemniscate ?

 

Total des mesures:
    L1= + L2 + … = 26,12

 

Rapport L/c:

    26,12 x 4 / 20 = 5,23

 

Approximation par des segments d'une aile de la courbe

 

 

 

Constantes de la lemniscate

 

La constante s est le périmètre de la lemniscate pour c = 1.

Son calcul fait intervenir la fonction gamma.

Elle joue un rôle semblable à celui de Pi pour le cercle.

En 2016, elle est connue avec 250 milliards de décimales  - Ron Watkins

 

= 0,39894 … x 3,62561…2
= 5,24411510858…

 

Exemple

 

c = 1 et a = 0,707

Hauteur totale: 0,707 …

Longueur totale: 2

Périmètre complet: 5,244…

Aire: 1

 

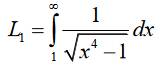
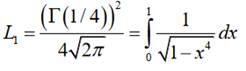
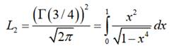
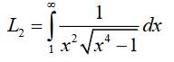
Constante L1 et L2

La première constante représente la longueur d'un quart de lemniscate

La deuxième constante est égale à la moitié de la constante de Gauss.

 

L1 = 1,311028777…

 

L2 = 1 / 2G =  0,5990701173 …

             G  = 0,834626841167 …

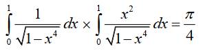
Calcul des constantes

  

   

Identité d'Euler (1781)

 

 

 

 

Suite

*    Courbes élémentaires

*    CourbesIndex

*    Hélice

*    Hyperbole

*    Huit

*    Ruban de Moebius

*    Spirale

Voir

*    Cercle

*    GéométrieGlossaire

*    GéométrieIndex

DicoNombre

*    Nombre L2 = 0,599…

*    Nombre G = 0,834…

*    Nombre L1 = 1,311…

*    Nombre  s = 5,244…

Sites

*      Lemniscate de Bernoulli – Mathcurve – Robert Ferréol

*      Lemniscate de Bernoulli – ChronoMath – Serge Mehl

*      Lemniscate

*      Lemniscate constant – Wolfram MathWorld

*      Lemniscate de Booth – Mathcurve

*      OEIS A064853 – Lemniscate constant

*      Lemniscate de Gerono ou huit – Mathcurve

*      Les curieuses découvertes de Giulo Fagnano** – Jean-Claude Pénin – 2007

*      Lemniscate constants – Edgar Valdebenito

*    Lemniscate Calculator – Rechneronline

*    Mathematical Constants - Billions of Digits de Alexander J. Yee

Cette page

http://diconombre.fr/GeomLAV/Courbes/Lemnisca.htm